'스핀궤도토크 자성메모리(SOT-MRAM)'에 드는 전력을 줄일 수 있는 스핀소재 기술이 나왔다. 속도와 안정성은 뛰어나지만 높은 에너지 소모가 걸림돌이었던 SOT-MRAM 한계를 보완할 수 있는 성과다. 향후 저전력이 필수인 핸드폰, 웨어러블 로봇, 사물인터넷(IoT)용 메모리로 유용하게 적용될 전망이다.
카이스트(총장 이광형)가 박병국 신소재공학과 교수와 이경진 물리학과 교수 공동연구팀이 고속 동작 비휘발성 메모리로 개발 중인 스핀궤도토크 자성메모리(SOT-MRAM) 에너지 소비 전력을 획기적으로 줄일 수 있는 스핀소재 기술을 개발했다고 27일 밝혔다.
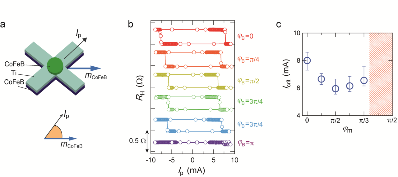
스핀궤도토크 자성메모리(SOT-MRAM)란 면방향 전류에서 발생하는 스핀전류를 이용해 자화 방향을 제어하는 동작 방식으로 작동한다. 기존 스핀전달토크 자성메모리(STT-MRAM) 보다 동작 속도가 10배 이상 빠르고 안정성도 높아 차세대 자성메모리로 주목받고 있다.
그러나 스위칭 전류가 기존 스핀전달토크 자성메모리(STT-MRAM)보다 커서 자성메모리 동작 전력이 많이 소모된다. 자화 스위칭을 위해 외부자기장도 필수적이다. SOT-MRAM 실용화를 위해서는 외부자기장 없이 동작하면서 스위칭 효율이 높은 소재 기술 개발이 필요하다.
공동연구팀은 새로운 스핀소재 구조인 단결정 강자성·전이금속 이중층 구조에서 세 방향의 스핀분극을 가진 스핀 전류가 생성된다는 점을 이론과 실험으로 증명했다. 이를 통해 자성메모리 동작 에너지를 결정하는 자화반전 스위칭 전류를 효과적으로 줄이는 결과를 보였다.
이번에 개발한 신소재는 스핀궤도토크 효율을 높이고 외부자기장 없이 동작이 가능해 SOT-MRAM 실용화를 앞당길 수 있을 전망이다. 특히 SOT-MRAM은 고속 동작·비휘발성으로 기존 반도체 소자 대기전력을 줄일 수 있다. 저전력이 필수인 핸드폰, 웨어러블 로봇, 사물인터넷(IoT)용 메모리로 활용 가능성이 크다.
류정춘 카이스트 신소재공학과 박사가 제1 저자로 참여하고 육종민 교수 신소재공학과 교수, 닛타 준사쿠(Nitta Junsaku) 일본 도호쿠(Tohoku) 대학교 교수가 공동 진행한 이번 논문은 국제학술지 ‘네이처 일렉트로닉스(Nature Electronics)’에 이달 7일 온라인 게재됐다. 논문명은 ‘Efficient spin-orbit torque in magnetic trilayers using all three polarizations of a spin current’다.
해당 연구는 삼성전자, 한국연구재단 중견연구자지원사업 지원으로 수행됐다.
AI타임스 김미정 기자 kimj7521@aitimes.com
