프랑스 인공지능(AI) 스타트업 미스트랄이 아랍어에 특화된 파운데이션 모델을 선보였다. 아랍 기업들이 맞춤형 AI 모델을 개발하는데 사용하라는 의도다.
미스트랄은 17일(현지시간) 아랍어와 중동 문화에 최적화된 대형언어모델(LLM) ‘미스트랄 사바(Mistral Saba)’를 출시했다고 발표했다.
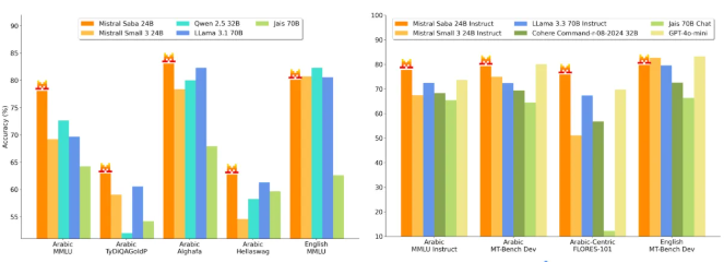
미스트랄 사바는 중동 지역을 위한 맞춤형 파운데이션 모델로, 아랍어 기반 대화형 AI 및 콘텐츠 생성뿐만 아니라 기업 맞춤형 AI 개발에도 활용될 수 있다.
240억개의 매개변수로 비교적 가벼운 편이지만, 휠씬 큰 모델에 맞먹는 성능을 보인다고 전했다. 또 중동과 남아시아 간의 문화 교류 증가에 따라 아랍어는 물론, 많은 인도계 언어도 뛰어나다고 전했다.
내부 테스트에 따르면, 사바는 기존 ‘미스트랄 스몰 3(Mistral Small 3)’보다 아랍어 처리 성능이 뛰어난 것으로 나타났다.
API를 통해 쉽게 사용할 수 있으며, 맞춤형 모델 구축을 원하는 기업을 위해 온프레미스 배포도 지원한다. 이를 통해 금융과 에너지, 의료 등 민감한 산업 분야에서도 활용이 가능하다고 소개했다.
한편, 미스트랄은 지난해 하반기부터 모델 개발과 동시에 사업 확장에 집중하고 있다. 미국에 미세조정을 지원하는 조직을 구성하고, 대기업과의 파트너십에 적극 나선 것이 그 예다.
이번 아랍어 모델 출시도 이런 맥락으로, 특히 투자 유치와도 관련이 있다는 분석이다. 이 지역에도 소버린 AI에 집중하고 있으며, 아랍에미리트(UAE)의 국영 기업 G42는 지난해 '자이스(Jais)'라는 아랍어 전용 LLM을 최초로 출시한 바 있다.
박찬 기자 cpark@aitimes.com
